Policz średnią odległość gwiazdy od czarnej dziury i na podstawie danych dla tej gwiazdy policz masę czarnej dziury.
Dla gwiazdy S02:
Okres:
Dla gwiazdy S0-102:
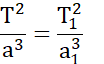
3 prawo Keplera:
Odległość średnia S0-102 od czarnej dziury
Wstaw do wzoru z poprzedniego punktu:
Masa czarnej dziury:
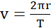
Wzór na prędkość satelity krążącej po orbicie ma postać:
Gdzie v – prędkość satelity [
G – stała grawitacji [
M – masa obiektu, wokół którego krąży satelita [kg],
r – promień orbity [m].
Wzór na prędkość w ruchu obrotowym:
gdzie T – okres obrotu [s].
3 prawo Keplera mówi, że stosunek kwadratu okresu obiegu planety wokół Słońca do sześcianu średniej odległości od Słońca jest taki sam dla wszystkich planet w naszym Układzie Słonecznym. Możesz również to prawo stosować dla księżyców planet czy innych gwiazd.
Zadanie 11.1.8.
16Zadanie 11.1.9.
17Zadanie 11.1.10.
17Zadanie 11.2.2.
21Zadanie 11.2.7.
25Zadanie 11.3.14.
33Zadanie 11.3.17.
34Zadanie 11.3.19.
35Zadanie 11.3.20.
35Zadanie 11.3.22.
35Zadanie 11.3.24.
36Zadanie 11.3.25.
36Zadanie 11.3.26.
36Zadanie 11.4.10.
44Zadanie 11.4.11.
44Zadanie 11.4.12.
44Zadanie 11.4.20.
46Zadanie 11.4.22.
46Zadanie 11.5.8.
54Zadanie 11.5.16.
57Zadanie 11.6.1.
66Zadanie 11.6.6.
67Zadanie 11.6.7.
67Zadanie 11.6.11.
68Zadanie 11.6.12.
69Zadanie 11.6.16.
69Zadanie 11.6.22.
70Zadanie 11.6.23.
71Zadanie 11.6.24.
71Zadanie 11.6.25.
71Zadanie 11.6.26.
72Zadanie 11.7.1.
74Zadanie 11.7.3.
75Zadanie 11.7.4.
75