Zadanie

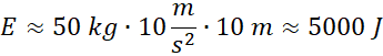
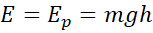
W tym zadaniu oblicz czas, jaki zajmie silnikowi wciągarki zasilanemu napięciem 12 V i pobierającemu prąd o natężeniu 10 A, aby wciągnąć worek cementu o masie 50 kg na wysokość 10 m.

Rozwiązanie

Wyjaśnienie

Zadania z tego działu
5. Prąd elektryczny
53
7. Obwody elektryczne
54
8. Napięcie i natężenie prądu
62
9. Pomiar napięcia i natężenia
68
10. Połączenia szeregowe i równoległe
75
11. Pierwsze prawo Kirchhoffa
82
15. Energia elektryczna i moc prądu elektrycznego
103
Zadania powtórzeniowe. Dasz sobie z tym radę? – Świetnie!
115