Zadanie

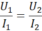
W tym zadaniu oblicz, jakie trzeba podłączyć napięcie, aby przez grzałkę popłynął prąd o natężeniu 5 mA, jeśli przy podłączeniu grzałki do źródła prądu o napięciu 2 V popłynął przez nią prąd o natężeniu 20 mA.

Rozwiązanie

Wyjaśnienie

Zadania z tego działu
5. Prąd elektryczny
53
7. Obwody elektryczne
54
8. Napięcie i natężenie prądu
62
9. Pomiar napięcia i natężenia
68
10. Połączenia szeregowe i równoległe
75
11. Pierwsze prawo Kirchhoffa
82
15. Energia elektryczna i moc prądu elektrycznego
103
Zadania powtórzeniowe. Dasz sobie z tym radę? – Świetnie!
115