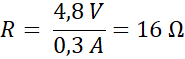
W tym zadaniu oblicz opór znamionowy żarówki, której napięcie znamionowe wynosi 4,8 V, a natężenie znamionowe 0,3 A i porównać wynik z wynikiem pomiaru oporu żarówki za pomocą omomierza.
Rozwiązanie
Wyjaśnienie
Korzystamy z prawa Ohma, podstawiając do wzoru dane liczbowe podane przez producenta.