Zadanie

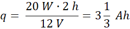
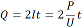
W tym zadaniu oblicz jaki ładunek przepłynie w czasie 2 h przez żarówkę o mocy 20 W i zasilanej napięciem 12 V. Następnie oblicz, jak długo można zasilać dwie takie żarówki z akumulatora o pojemności 48 Ah.

Rozwiązanie

Wyjaśnienie

Zadania z tego działu
5. Prąd elektryczny
53
7. Obwody elektryczne
54
8. Napięcie i natężenie prądu
62
9. Pomiar napięcia i natężenia
68
10. Połączenia szeregowe i równoległe
75
11. Pierwsze prawo Kirchhoffa
82
15. Energia elektryczna i moc prądu elektrycznego
103
Zadania powtórzeniowe. Dasz sobie z tym radę? – Świetnie!
115