Skala 1:5 oznacza, że zmierzony 1 cm odpowiada 5 cm w rzeczywistości. Punkty, na których masz podać ciśnienia, znajdują się co 1 cm.
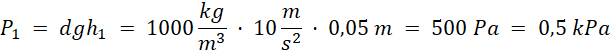
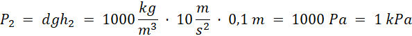
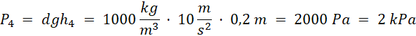
Oblicz ciśnienia na danych poziomach, gdy tłok nie działa, ciśnienie w tym przypadku będzie równe ciśnieniu hydrostatycznemu (gęstość wody
Oblicz ciśnienie, gdy tłok wywiera ciśnienie 2 kPa. W tym przypadku zgodnie z prawem Paskala ciśnienie wywierane przez ciecz na danym poziomie będzie sumą ciśnień hydrostatycznego i wywieranego przez tłok. Ciśnienia hydrostatyczne policzyłeś już wcześniej, musisz więc tylko dodać ciśnienie wytwarzanej przez tłok:
Zaznacz odpowiednie punkty na osiach.