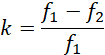
1. Efekt zmniejszenia energii fotonu po odbiciu:
gdzie
Przekształcając:
2. Energia kwantu promieniowania:
gdzie h to stała Plancka
3. Energia przed i po odbiciu:
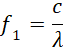
4. Częstotliwość promieniowania początkowego:
gdzie c to prędkość światła
5. Pęd fotonu i atomu przed i po odbiciu:
gdzie m to masa atomu węgla
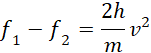
6. Z zachowania pędu:
7. Z zachowania energii:
Stąd:
8. Podstawiając dane liczbowe:
Po obliczeniach:
Energia fotonu po odbiciu zmniejsza się o około
To zadanie jest przykładem zastosowania zasad zachowania energii i pędu w kontekście oddziaływania światła z atomem. Opisuje sytuacje, w której foton (kwant światła) odbija się od początkowo spoczywającego atomu węgla, powodując, że atom zaczyna się poruszać. Foton po odbiciu ma inną energię niż przed odbiciem. Chcesz obliczyć, o ile procent zmniejsza się energia fotonu po odbiciu.
Kluczowe kroki i ich wyjaśnienie:
1. Określenie energii fotonu przed i po odbiciu:
2. Zależność między energią a częstotliwością:
Energię fotonu można wyrazić jako
3. Zasada zachowania pędu:
Foton posiada pęd przed i po odbiciu, a zmiana pędu fotonu jest równa pędowi nabytemu przez atom węgla. Używając tego związku, możesz uzyskać równanie opisujące relację między częstotliwościami fotonu przed i po odbiciu oraz prędkością atomu węgla.
4. Zasada zachowania energii:
Całkowita energia przed odbiciem (energia fotonu + energia atomu) musi być równa całkowitej energii po odbiciu. To daje kolejne równanie opisujące relację między energiami.
5. Rozwiązanie układu równań:
Masz układ równań z dwoma niewiadomymi: częstotliwość fotonu po odbiciu i prędkość atomu węgla. Rozwiązując te równania, możesz znaleźć obie te wartości.
6. Obliczenie procentowej zmiany energii:
Korzystając z uzyskanych wyników, możesz obliczyć procentową zmianę energii fotonu po odbiciu, co jest odpowiedzią na zadanie.
Podsumowując, to zadanie łączy podstawowe zasady fizyki kwantowej (energia fotonu jako funkcja jego częstotliwości) z klasycznymi zasadami zachowania energii i pędu. Dzięki temu można zrozumieć, jak oddziaływanie między fotonem a atomem prowadzi do zmiany energii fotonu oraz ruchu atomu.