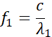
Ciało odbija fale świetlne o długościach fal:
-
-
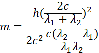
Szukana wielkość to masa ciała
Pędy przed odbiciem:
-
-
Stałe:
-
- \
Pędy po odbiciu:
-
-
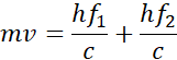
Z zachowania pędu:
Energia kwantu promieniowania wynosi
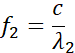
Stąd energie fotonów przed i po odbiciu to odpowiednio:
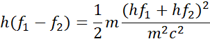
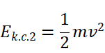
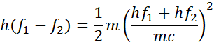
Energie kinetyczne ciała przed i po odbiciu:
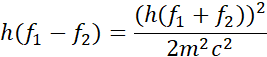
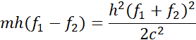
Z zachowania energii:
Przekształcając:
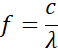
Częstotliwość promieniowania eletromagnetyczego:
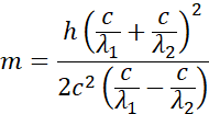
Co daje:
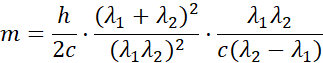
Podstaw to do wyrażenia dla masy:
Stosując podstawienie dostajesz:
Rozwiń nawias:
Uporządkuj i uprość:
Podstaw dane:
Zwróć uwagę, że wynikowa wartość jest znacznie mniejsza niż masa elektronu, co sugeruje, że taki scenariusz nie jest możliwy w rzeczywistości, ponieważ elektron jest fundamentalną cząstką materii.
Aby rozwiązać to zadanie, musisz wykorzystać zasady zachowania energii i pędu. Zacznij od zauważenia, że foton światła fioletowego odbija się od ciała i staje się fotonem światła niebieskiego. To oznacza, że energia fotonu musi pozostać stała, ponieważ nie zachodzi utrata energii podczas odbicia.
1. Musisz wyrazić energie fotonów światła fioletowego i niebieskiego za pomocą ich częstotliwości (f1 i f2) oraz stałej Plancka (h).
2. Następnie, korzystając z zasady zachowania energii, możesz ustalić, że energia fotonów przed i po odbiciu jest taka sama. To pozwoli Ci na ułożenie równania.
3. W równaniu użyj masy ciała (m), którą chcesz obliczyć, oraz prędkości światła (c) oraz długości fal (λ1 i λ2) odpowiadających światłu fioletowemu i niebieskiemu.
4. Teraz musisz przekształcić równanie, aby wyrazić masę ciała (m) jako wynik.
Wyjaśnienie to pokazuje, że masa ciała musiałaby być odpowiednio dobrana, aby zachować energię i dokonać zmiany koloru fotonu.