Dane:
Długość światła żółtego:
Szukane:
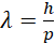
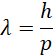
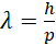
Długość fali de Broglie’a oblicz ze wzoru:
Przy czym:
Wzór na pęd ciała:
gdzie:
Prędkości elektronu będzie miała postać:
Podstaw do wzoru:
Odpowiedź: Wartość prędkości wyniesie około
Aby obliczyć prędkość, jaką musiałby mieć elektron, aby jego długość fali de Broglie'a była równa długości fali światła żółtego, musisz wykorzystać wzór de Broglie'a i dostępne informacje na temat długości fali światła żółtego. Długość fali światła żółtego wynosi zazwyczaj około 580 nanometrów (nm).
Krok pierwszy polega na użyciu wzoru de Broglie'a, który opisuje zależność między długością fali (λ), stałą Plancka (h) oraz pędem (p) elektronu. Stała Plancka to około
Następnie, znając pęd elektronu, musisz obliczyć jego prędkość. Pamiętaj, że pęd to iloczyn masy elektronu i jego prędkości. Masa elektronu wynosi około
Po obliczeniach powinieneś uzyskać prędkość elektronu, która umożliwi mu posiadanie długości fali de Broglie'a równą długości fali światła żółtego, bazując na danych dotyczących fali światła żółtego i stałej Plancka.