Zgodnie z Ryc. 17.33. na stronie 164 tego podręcznika jasnoniebieską linię w widmie wodoru otrzymujesz przez przejściu elektronu z orbity 4 na 2, czyli:
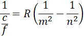
Zgodnie ze wzorem Rydberga masz zależność:
Przy czym:
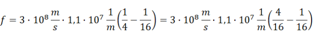
Wzór na długość fali elektromagnetycznej:
gdzie:
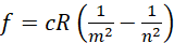
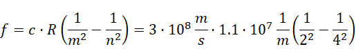
Częstotliwość jasnoniebieskiej lini widmowej wynosi:
Podstaw dane do wzoru:
Aby rozwiązać to zadanie, musisz zacząć od przeczytania treści i zrozumienia, że chodzi o jasnoniebieską linię w widmie wodoru, którą zyskujesz, gdy elektron przechodzi z orbity 4 na orbitę 2.
Wzór, któego będziesz potrzebować, to wzór Rydberga, który opisuje długość fali widmowej. Ten wzór to
Podstaw wartości do przekształconego wzoru