Dane:
-
Szukane:
-
Rozwiązanie:
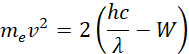
Wzór Einsteina :
gdzie:
-
-
-
Oblicz energię fotonu o podanej długości fali:
gdzie:
-
-
-
Pracę wyjścia dla rubidu odczytujesz z tabeli 17.1 na stronie 145:
Znane jest:
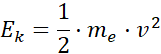
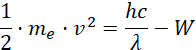
Energia kinetyczna wybitego elektronu ma postać:
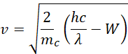
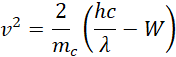
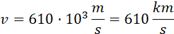
Maksymalna prędkość elektronu wybitego z rubidu zapisujesz:
Odpowiedź:
Maksymalna prędkość elektronu to około 610 km/s.
Najpierw musisz dokładnie przeczytać treść zadania, aby zrozumieć, co jest wymagane. W zadaniu chodzi o obliczenie maksymalnej prędkości elektronu wybitego przez światło fioletowe o konkretnej długości fali, która wynosi 380 nm.
Teraz musisz poznać dane. W zadaniu podano długość fali światła fioletowego (
Następnie użyj wzoru Einsteina, który mówi, że energia fotonu
Aby obliczyć energię fotonu, możesz skorzystać z wzoru
Jeśli nie podano bezpośrednio, musisz znaleźć pracę wyjścia (
Teraz możesz obliczyć energię kinetyczną elektronu, korzystając z wzoru \
Następnie, aby znaleźć prędkość (
Podstaw wszystkie dane liczbowe do wzoru i dokonaj obliczeń.
Na koniec, przedstaw wynik jako maksymalną prędkość elektronu wybitego przez światło fioletowe o długości fali 380 nm.