Dane:
Szukane:
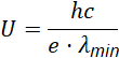
W lampie rentgenowskiej minimalną długość fali przedstaw tym wzorem:
Przy czym:
Napięcie pomiędzy katodą i anodą możesz przedstawić:
Podstaw dane liczbowe do wzoru:
Wniosek: Aby osiągnąć pełen zakres długości fali promieniowania rentgenowskiego, konieczne jest zastosowanie napięcia rzędu około 1,2 megawoltów.Wyjaśnienie:
Aby obliczyć jakie napięcie jest potrzebne, aby lampa rentgenowska wytwarzała fale z całego zakresu promieniowania rentgenowskiego, możesz skorzystać z pojęcia minimalnej długości fali promieniowania rentgenowskiego. Przy użyciu odpowiednich wzorów, takich jak równanie długości fali i energii fotonu, można znaleźć minimalną długość fali, która odpowiada całemu zakresowi promieniowania rentgenowskiego. Następnie, korzystając ze znanego wzoru zależności między napięciem, długością fali, i energią fotonu, można obliczyć jakie napięcie jest potrzebne, aby tę długość fali uzyskać. To zadanie wymaga zrozumienia związku między parametrami promieniowania rentgenowskiego i zastosowania odpowiednich wzorów fizycznych do obliczeń.