Dane:
Szukane:
1. Długość fali (
Wzór na minimalną długość fali rentgenowskiego można wyrazić jako:
Przy czym:
Teraz możesz obliczyć
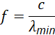
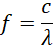
2. Częstotliwość (
Możesz obliczyć częstotliwość promieniowania rentgenowskiego za pomocą wzoru:
Przy czym:
Teraz możesz obliczyć
Podstaw do wzoru:
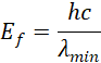
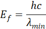
3. Energia fotonu (
Energię fotonu o danej długości fali możesz obliczyć za pomocą wzoru:
Gdzie:
Teraz możesz obliczyć
Aby rozwiązać to zadanie, najpierw musisz obliczyć minimalną długość fali
Pierwszym krokiem jest obliczenie
Kolejny krok to obliczenie energii fotonu (
Podsumowując, aby rozwiązać to zadanie, musisz przeprowadzić obliczenia, aby uzyskać potrzebne wartości.