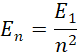
Energię elektronu na określonej orbicie oblicz z wykorzystaniem następującej zależności:
Przy czym
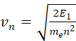
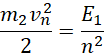
Poruszający się elektron ma swoją energię kinetyczną, którą wyraża się za pomocą wzoru:
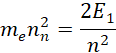
Wyrażenie pod pierwiastkiem będzie zachowywało stałą wartość:
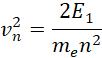
Z czego wynika:
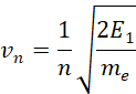
Teraz możesz obliczyć wartość
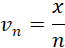
Teraz, dla różnych numerów orbit, oblicz prędkości elektronu, przy czym
Dla
Dla
Dla
Dla
Dla
Otrzymujesz w ten sposób prędkości dla różnych numerów orbit. Teraz możesz stworzyć wykres zależności prędkości od numeru orbity.
Aby rozwiązać to zadanie, musisz obliczyć prędkości elektronu na różnych orbitach atomu wodoru. Odpowiada to zależności między energią kinetyczną a potencjalną elektronu na tych orbitach. Najpierw użyj wzoru na energię elektronu na danej orbicie:
Wykorzystaj dane i obliczone wartości stałej