Dane:
Szukane:
Wykorzystując prawo Wiena:
Podstaw, aby obliczyć długość fali odpowiadającej maksymalnej mocy promieniowania termicznego dla śniegu:
Długość fali dla światła czerwonego:
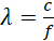
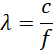
Oblicz długość fali elektromagnetycznej
gdzie:
Zatem długość fali dla podanej częstotliwości promieniowania mikrofalowego wynosi:
Odpowiedź brzmi:
Długość fali odpowiadająca największej mocy promieniowania cieplnego to przybliżenie
Aby rozwiązać to zadanie, musisz najpierw zidentyfikować wszystkie podane dane. W tym przypadku, masz określoną temperaturę, częstotliwość i stałą Wiena. Następnie musisz zrozumieć, co jest pytaniem zadania - chcesz znaleźć długość fali odpowiadającą maksymalnej mocy promieniowania.
Następnie, korzystając z prawa Wiena, musisz wyznaczyć długość fali dla maksymalnej mocy promieniowania termicznego. Wykorzystując wzór
Po obliczeniu długości fali dla maksymalnej mocy promieniowania, musisz porównać ją z długością fali światła czerwonego i promieniowania mikrofalowego. Aby to zrobić, musisz zastosować wzór
W końcowym etapie, musisz zestawić wszystkie obliczone wartości, aby udzielić odpowiedzi na postawione pytanie i zrozumieć wzajemne relacje pomiędzy tymi długościami fal.