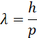
Pęd fotonów opisz tym wzorem:
Przy czym:
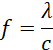
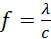
Korytami ze wzoru na częstotliwość promieniowania elektromagnetycznego:
Przy czym:
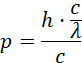
Przekształć wzór:
Wynika stąd, że fotonów długość fali można obliczyć przy użyciu wzoru na długość fali de Broglie'a.
Aby rozwiązać to zadanie, należy najpierw zrozumieć treść i dostępne wzory. Wzór na pęd fotonów to
Następnie, używając tych wzorów, można obliczyć długość fali fotonów. Najpierw można obliczyć częstotliwość korzystając z wartości prędkości światła i długości fali.
Po obliczeniach można podstawić wartości do wzoru na pęd fotonów i obliczyć pęd. Następnie, dzieląc stałą Plancka przez pęd, można obliczyć długość fali de Broglie'a dla fotonów.
Warto zwrócić uwagę na jednostki i upewnić się, że są spójne w całym procesie obliczeń. Ostatecznie, zrozumienie i interpretacja wyniku w kontekście fizyki jest kluczowe.