Dane:
Szukane:
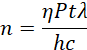
Sprawność lampy LED przedstaw jako stosunek energii emitowanej wiązki światła do energii dostarczanej przez prąd elektryczny:
Energię elektryczną zapisz jako iloczyn mocy lampy i czasu pracy:
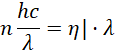
Energia emitowanej wiązki światła to suma wszystkich energii emitowanych fotonów:
Przy czym:
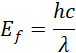
Wzór na energię fotonu o podanej długości fali
Przy czym:
W lampach LED światło daje biała dioda elektroluminescencyjna, która emituje światło o długości fali około:
Wzór na liczbę emitowanych fotonów:
Podstaw:
Odpowiedź :
W ciągu sekundy lampa LED emituje około
Aby oszacować, ile fotonów emituje w ciągu sekundy lampa LED o danej mocy i sprawności, musisz najpierw znać moc lampy LED, oznacz ją jako P, oraz jej sprawność, którą oznacz jako
Następnie musisz wiedzieć, że energia elektryczna dostarczana do lampy LED w ciągu sekundy to iloczyn mocy oraz czasu, co możesz opisać jako
W tym miejscu musisz zwrócić uwagę, że prawdopodobnie nie masz podanej wartości długości fali światła, więc musisz skorzystać z informacji o źródle światła w lampie LED. Dla przykładu, w lampach LED źródłem światła jest zazwyczaj biała dioda elektroluminescencyjna, która emituje światło o długości fali około 450 nm. Mając tę wartość, musisz obliczyć energię pojedynczego fotonu. Następnie, dzieląc całkowitą energię dostarczaną do lampy przez energię pojedynczego fotonu, uzyskasz liczbę fotonów emitowanych przez lampę w ciągu sekundy. Ostateczny wzór, którym musisz się posłużyć, to