Zgodnie z równaniem Rydberga długość fali \(\lambda\) jest opisana przez wzór:
Przy czym:
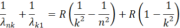
W treści zadania masz zapis:
Jeżeli promieniowanie jest emitowane z orbity
Jeśli promieniowanie jest emitowane z orbity
Dla promieniowania emitowanego z orbity
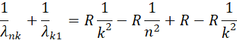
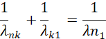
Dodając obie wartości otrzymujesz:
I właśnie to trzeba było udowodnić!
Aby rozwiązać to zadanie, musisz najpierw zrozumieć wzór Rydberga, który opisuje zależność długości fali wyemitowanej podczas przejścia elektronu. Musisz pamiętać, że
Następnie, na podstawie dostarczonych informacji, musisz określić dla jakich orbit ma miejsce emisja promieniowania i użyć odpowiedniego wzoru dla każdego przypadku: dla przejścia z orbity n na orbitę 1 , z orbity
Po wyprowadzeniu wzorów dla każdego przypadku, musisz połączyć je, by uzyskać końcową zależność. Twoim celem jest udowodnienie, że suma długości fal dla przejść z orbity