Dane:
Szukane:
Rozwiązanie:
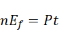
Moc lasera:
gdzie:
Długość światło czerwone okresy korzystając zadania 4 jako:
gdzie:
Wzór na energię kwantu promieniowania elektromagnetycznego:
gdzie:
Wzór na częstotliwość promieniowania elektromagnetycznego
gdzie:
a
Światło czerwone ma długość fali:
Ilość kwantów emitowanego światła:
W jednej sekundzie laser wytwarza blisko
Zadanie polega na podzieleniu całkowitej energii emitowanej przez laser w ciągu sekundy przez energię jednego fotonu, aby uzyskać całkowitą liczbę fotonów emitowanych w ciągu sekundy.Po podzieleniu energii emitowanej przez laser w ciągu sekundy przez energię jednego fotonu, aby obliczyć, ile fotonów emituje laser w ciągu tej sekundy. Po wykonaniu obliczeń otrzymujesz: