Dane:
Szukane:
Rozwiązanie:
Wartości pędów piłki i pingwina przed zderzeniem wynoszą:
Przy czym:
Wartości pędów piłki i pingwina po zderzeniu:
gdzie:
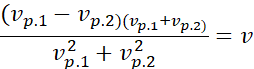
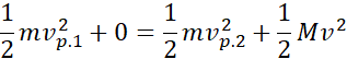
Zasady zachowania pędu:
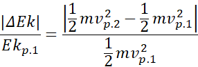
Energie przed zderzeniem:
Energie po zderzeniu:
Zasada zachowania energii:
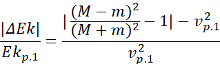
Tworzysz układ równań:
Z zasady zachowani pędu możesz zapisać:
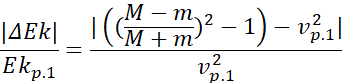
podstaw do wzoru
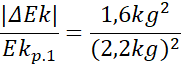
Krok 2: Wykonaj działania w liczniku:
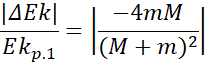
Krok 3: Wykonaj działania w mianowniku:
Krok 4: Podziel licznik przez mianownik:
Ostateczna odpowiedź to
Musisz skorzystać z praw fizyki dotyczących zachowania pędu oraz energii w sprężystych zderzeniach. Pęd jest ilością wektorową, co oznacza, że ma zarówno wartość jak i kierunek. W tym przypadku musisz uwzględnić kierunek ruchu zarówno piłki, jak i pingwina.
Musisz również wiedzieć, jak obliczyć energię kinetyczną. W przypadku zderzenia sprężystego energia kinetyczna systemu (tu: piłka i pingwin) przed zderzeniem jest równa energii kinetycznej systemu po zderzeniu.
Teraz, skoro znasz prędkość początkową piłki i jej masę oraz masę pingwina, musisz ustalić, jakie będą ich prędkości po zderzeniu. Zasada zachowania pędu mówi, że całkowity pęd przed zderzeniem będzie równy całkowitemu pędowi po zderzeniu. Możesz to zapisać jako równanie, uwzględniając masę i prędkość zarówno piłki, jak i pingwina przed i po zderzeniu.
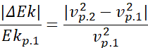
Kiedy znajdziesz prędkości piłki i pingwina po zderzeniu, musisz obliczyć energię kinetyczną piłki przed i po zderzeniu. Różnica między tymi dwoma wartościami da Ci utraconą energię kinetyczną piłki.
Ostatecznie musisz podzielić utraconą energię kinetyczną przez początkową energię kinetyczną piłki, aby znaleźć procent energii, który piłka utraciła w wyniku zderzenia.
Pamiętaj, aby w odpowiednim momencie podstawić wartość masy pingwina równą 2 kg, aby uzyskać odpowiedni wynik dla tego konkretnego przypadku.