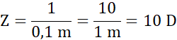
| Ogniskowa f (cm) | Ogniskowa f (m) | Zdolność skupiająca Z (D) | Rodzaj soczewki |
| 10 | 0,1 | 10 | skupiająca |
| 25 | 0,25 | 4 | skupiająca |
| -100 | -1 | -1 | rozpraszająca |
| -80 | -0,8 | -1,25 | rozpraszająca |
| 40 | 0,4 | 2,5 | skupiająca |
| -250 | -2,5 | -0,4 | rozpraszająca |
Zdolność skupiająca:
Soczewki skupiające mają dodatnią ogniskową i zdolność skupiającą.
Soczewki rozpraszające mają ujemną ogniskową i zdolność skupiającą.
Wykorzystaj wzór na zdolność skupiającą (zbierającą):
gdzie Z – zdolność skupiająca (zbierająca) w dioptriach [D],
f – ogniskowa soczewki w metrach [m].