A:
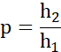
Wysokość obrazu:
Wysokość przedmiotu:
Powiększenie:
B:
Odległość obrazu od soczewki:
Odległość przedmiotu od soczewki:
Powiększenie:
Powiększenie obrazu to stosunek wysokości obrazu do wysokości przedmiotu. Może być obliczany również jako stosunek odległości obrazu od soczewki i odległości przedmiotu od soczewki.