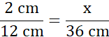
Stosunek wysokości przedmiotu i jego odległości od zwierciadła jest równy stosunkowi wysokości obrazu i jego odległości od zwierciadła:
x – wysokość obrazu
Wysokość obrazu wynosi 6,3 cm.
Powiększenie obrazu w stosunku do przedmiotu możemy również obliczyć, dzieląc odległość obrazu od zwierciadła przez odległość przedmiotu od zwierciadła.