Zdolność skupiająca:
Ogniskowa
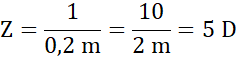
Zdolność skupiająca wynosi 5 dioptrii.
Wykorzystaj wzór na zdolność skupiającą (zbierającą):
gdzie Z – zdolność skupiająca (zbierająca) w dioptriach [D],
f – ogniskowa soczewki w metrach [m].