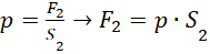
Na początku przeanalizujmy ciśnienie wywierane przez tłok mniejszej strzykawki:
Znając ciśnienie wywierane przez tłok mniejszej strzykawki, obliczamy siłę działające na orzech, wywieraną przez duży tłok:
F2
F2 = 100 N
Zgodnie z prawem Pascala, wzrost ciśnienia jest jednakowy w całej objętości cieczy lub gazu, zatem znając ciśnienie wywierane przez tłok mniejszej strzykawki oraz powierzchnię tłoczku większe strzykawki, możemy znaleźć siłę dużego tłoka działającą na orzech.