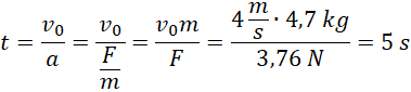
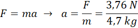
Wiedząc, że początkową wartość prędkości sanek o masie 4,7 kg wynosi 14,4 km/h, a wartość siły oporu to 3,76 N oblicz drogę, jaką przebyły sanki do chwili zatrzymania się, i czas, po którym to nastąpiło.
Na początku obliczamy opóźnienie sanek, korzystając ze wzoru na siłę. Następnie za pomocą wzoru na prędkość końcową w ruchu opóźnionym obliczamy czas sanek do zatrzymania. Na koniec obliczamy drogę, jaką przebyły sanki, korzystając ze wzoru na drogę w ruchu jednostajnie opóźnionym.
Zadanie 10.6.
59Zadanie 10.9.
59Zadanie 10.10.
59Zadanie 10.11.
60Zadanie 10.12.
60Zadanie 10.14.
60Zadanie 10.15.
61Zadanie 10.17.
61Zadanie 10.18.
61Zadanie 10.23.
63Zadanie 10.27.
63Zadanie 11.2.
63Zadanie 11.6.
64Zadanie 12.3.
65Zadanie 12.4.
65Zadanie 12.6.
66Zadanie 12.12.
67Zadanie 12.15.
68Zadanie 12.16.
68Zadanie 13.6.
69Zadanie 13.10.
70Zadanie 13.11.
70Zadanie 13.12.
70Zadanie 13.15.
71Zadanie 13.18.
71Zadanie 13.21.
72Zadanie 13.25.
73Zadanie 14.1.
74Zadanie 14.2.
74Zadanie 14.3.
74Zadanie 14.8.
75Zadanie 14.9.
75Zadanie 14.10.
76Zadanie 15.2.
77Zadanie 15.3.
77Zadanie 15.7.
78Zadanie 15.8.
78Zadanie 15.12.
79Zadanie 15.13.
79Zadanie 15.14.
80