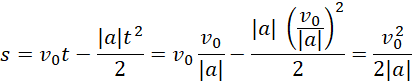
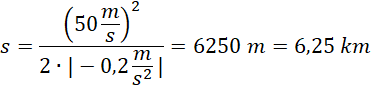
Wiedząc, że prędkość początkowa krążka hokejowego to 180 km/h, a współczynnik jego tarcia kinetycznego o lód wynosi 0,02 oblicz maksymalną drogę, jaką może przebyć krążek.
Zapisujemy wzór na siłę wypadkową. Następnie korzystamy z drugiej zasady dynamiki i wzoru na siłę tarcia wyznaczając wartość opóźnienia krążka. Za pomocą równań ruchu w ruchu jednostajnie opóźnionym obliczamy drogę przebytą przez krążek.
Zadanie 10.6.
59Zadanie 10.9.
59Zadanie 10.10.
59Zadanie 10.11.
60Zadanie 10.12.
60Zadanie 10.14.
60Zadanie 10.15.
61Zadanie 10.17.
61Zadanie 10.18.
61Zadanie 10.23.
63Zadanie 10.27.
63Zadanie 11.2.
63Zadanie 11.6.
64Zadanie 12.3.
65Zadanie 12.4.
65Zadanie 12.6.
66Zadanie 12.12.
67Zadanie 12.15.
68Zadanie 12.16.
68Zadanie 13.6.
69Zadanie 13.10.
70Zadanie 13.11.
70Zadanie 13.12.
70Zadanie 13.15.
71Zadanie 13.18.
71Zadanie 13.21.
72Zadanie 13.25.
73Zadanie 14.1.
74Zadanie 14.2.
74Zadanie 14.3.
74Zadanie 14.8.
75Zadanie 14.9.
75Zadanie 14.10.
76Zadanie 15.2.
77Zadanie 15.3.
77Zadanie 15.7.
78Zadanie 15.8.
78Zadanie 15.12.
79Zadanie 15.13.
79Zadanie 15.14.
80