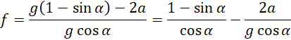
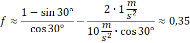
Na podstawie danych przedstawionych w treści zadania oblicz współczynnik tarcia kinetycznego klocka o równię.
Zapisujemy II zasadę dynamiki dla kierunku związanego z linką łączącą klocki. Siłą działającą w prawo (w dół), jest siła ciężkości wiszącego klocka. Siłami działającymi w lewo (w górę) jest siła ciężkości klocka leżącego na równi rzutowana na kierunek równoległy do równi oraz siła tarcia pochodząca od siły nacisku klocka na powierzchnię równi.
Zadanie 10.6.
59Zadanie 10.9.
59Zadanie 10.10.
59Zadanie 10.11.
60Zadanie 10.12.
60Zadanie 10.14.
60Zadanie 10.15.
61Zadanie 10.17.
61Zadanie 10.18.
61Zadanie 10.23.
63Zadanie 10.27.
63Zadanie 11.2.
63Zadanie 11.6.
64Zadanie 12.3.
65Zadanie 12.4.
65Zadanie 12.6.
66Zadanie 12.12.
67Zadanie 12.15.
68Zadanie 12.16.
68Zadanie 13.6.
69Zadanie 13.10.
70Zadanie 13.11.
70Zadanie 13.12.
70Zadanie 13.15.
71Zadanie 13.18.
71Zadanie 13.21.
72Zadanie 13.25.
73Zadanie 14.1.
74Zadanie 14.2.
74Zadanie 14.3.
74Zadanie 14.8.
75Zadanie 14.9.
75Zadanie 14.10.
76Zadanie 15.2.
77Zadanie 15.3.
77Zadanie 15.7.
78Zadanie 15.8.
78Zadanie 15.12.
79Zadanie 15.13.
79Zadanie 15.14.
80