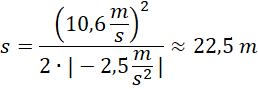
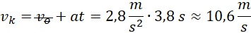
Wiedząc, że dziecko zjechało na sankach ze zbocza o długości 20 m i kącie nachylenia 30° oblicz, jaką drogę przebyło po torze poziomym, aż się zatrzymało, jeśli współczynnik tarcia kinetycznego wynosi 0,25.
1 etap:
2 etap:
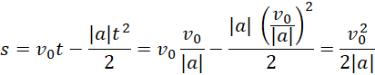
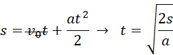
Zadanie dzielimy na dwa etapy: kiedy sanki poruszają się z górki ruchem przyspieszonym oraz gdy poruszają się po torze poziomym ruchem opóźnionym. Dla każdej sytuacji zapisujemy siłę wypadkową i na podstawie odpowiednich wzorów obliczamy najpierw prędkość u podnóża równi, a następnie drogę na torze poziomym.
Zadanie 10.6.
59Zadanie 10.9.
59Zadanie 10.10.
59Zadanie 10.11.
60Zadanie 10.12.
60Zadanie 10.14.
60Zadanie 10.15.
61Zadanie 10.17.
61Zadanie 10.18.
61Zadanie 10.23.
63Zadanie 10.27.
63Zadanie 11.2.
63Zadanie 11.6.
64Zadanie 12.3.
65Zadanie 12.4.
65Zadanie 12.6.
66Zadanie 12.12.
67Zadanie 12.15.
68Zadanie 12.16.
68Zadanie 13.6.
69Zadanie 13.10.
70Zadanie 13.11.
70Zadanie 13.12.
70Zadanie 13.15.
71Zadanie 13.18.
71Zadanie 13.21.
72Zadanie 13.25.
73Zadanie 14.1.
74Zadanie 14.2.
74Zadanie 14.3.
74Zadanie 14.8.
75Zadanie 14.9.
75Zadanie 14.10.
76Zadanie 15.2.
77Zadanie 15.3.
77Zadanie 15.7.
78Zadanie 15.8.
78Zadanie 15.12.
79Zadanie 15.13.
79Zadanie 15.14.
80