Skul.pl
  • Opracowania zadań z podręczników
  • Zrozumieć fizykę. Klasa 1.Podręcznik. Zakres rozszerzony - rozwiązania i odpowiedzi
  • Zadanie 3

Zrozumieć fizykę. Klasa 1.Podręcznik. Zakres rozszerzony - rozwiązania i odpowiedzi

Podręcznik, Wydawnictwo: Nowa Era
Poprzednie

Zadanie 3 - strona 242

Następne

Zadanie

Gdzie znajduje się środek masy układu Pluton – Charon?

Rozwiązanie

Środek masy układu znajduje się w odległości około 2200 km od Plutona.

Skul

Wyjaśnienie

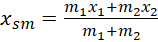
Aby obliczyć środek masy układu, korzystamy ze wzoru , przyjmujemy również, że środek układu współrzędnych znajduje się w Plutonie.

Poprzednie
Następne

Fizyka - wybrane pytania

Zadanie sprawdzające 4., strona 94, Świat fizyki. Klasa 8. Podręcznik - rozwiązania i odpowiedzi
Zadanie 3., strona 140, Fizyka. Klasa 2. Podręcznik. Zakres rozszerzony – rozwiązania i odpowiedzi
Zadanie 8.58., strona 117, Fizyka. Klasa 7-8. Zbiór zadań - rozwiązania i odpowiedzi
Ćwiczenie 3., strona 26, Fizyka. Świat fizyki. Klasa 8. Zeszyt ćwiczeń - rozwiązania i odpowiedzi
Ćwiczenie doświadczenie 5., strona 185, Fizyka. To jest fizyka. Klasa 8. Podręcznik - rozwiązania i odpowiedzi
Ćwiczenie 4.67., strona 62, Fizyka. Klasa 1-3. Zakres podstawowy. Zbiór zadań - rozwiązania i odpowiedzi
Zadanie 4, strona 135, Fizyka. Klasa 3. Zakres podstawowy. Podręcznik - rozwiązania i odpowiedzi
Zadanie 20.2., strona 70, Zbiór zadań z fizyki dla szkoły podstawowej. Klasa 7-8 - rozwiązania i odpowiedzi
Ćwiczenie 3., strona 149, Fizyka z plusem. Klasa 8. Podręcznik - rozwiązania i odpowiedzi
Zadanie 33.6, strona 113, Fizyka. Klasa 2. Zakres rozszerzony. Zbiór zadań - rozwiązania i odpowiedzi
REKLAMA
Skul
Zadania z tego działu
Bryła sztywna
234
Ruch postępowy i obrotowy bryły sztywnej
234

Zadanie 1

242

Zadanie 2

242

Zadanie 3

242

Zadanie 4

242
Moment siły
243

Zadanie 1

251

Zadanie 2

251

Podpunkt a)

251

Podpunkt b)

251

Zadanie 3

251

Zadanie 4

251

Zadanie 5

251

Podpunkt a)

251

Podpunkt b)

251

Podpunkt c)

251

Podpunkt d)

251
Środek ciężkości i energia potencjalna bryły sztywnej
252

Zadanie 1

257

Zadanie 2

257

Zadanie 3

257

Zadanie 4

257

Zadanie 5

257

Zadanie 6

257

Podpunkt a)

257

Podpunkt b)

257
Energia kinetyczna w ruchu obrotowym
258

Zadanie 1

263

Zadanie 2

263

Zadanie 3

263

Zadanie 4

263

Podpunkt a)

263

Podpunkt b)

263

Podpunkt c)

263

Zadanie 5

263
Druga zasada dynamiki w ruchu obrotowym
264

Zadanie 1

268

Zadanie 2

268

Podpunkt a)

268

Podpunkt b)

268

Zadanie 3

268

Zadanie 4

268

Podpunkt a)

268

Podpunkt b)

268

Podpunkt c)

268

Zadanie 5

268
Moment pędu
269

Zadanie 1

278

Podpunkt a)

278

Podpunkt b)

278

Podpunkt c)

278

Zadanie 2

278

Podpunkt a)

278

Podpunkt b)

278

Zadanie 3

278

Podpunkt a)

278

Podpunkt b)

278

Zadanie 4

278

Zadanie 5

278

Podpunkt a)

278

Podpunkt b)

278

Podpunkt c)

278

Podpunkt d)

278

Podpunkt e)

278
Pełny spis treści
Skul
Artboard 1
Skul.pl
  • Napisz do nas
  • FAQ
  • Mapa Serwisu
  • Google Play
  • App Store

Korzystanie z portalu oznacza akceptację Regulaminu.
Polityka prywatności. Ustawienia preferencji. Copyright: INTERIA.PL 1999-2023 Wszystkie prawa zastrzeżone.