Skul.pl
  • Opracowania zadań z podręczników
  • Zrozumieć fizykę. Klasa 1.Podręcznik. Zakres rozszerzony - rozwiązania i odpowiedzi
  • Zadanie 1

Zrozumieć fizykę. Klasa 1.Podręcznik. Zakres rozszerzony - rozwiązania i odpowiedzi

Podręcznik, Wydawnictwo: Nowa Era
Poprzednie

Zadanie 1 - strona 263

Następne

Zadanie

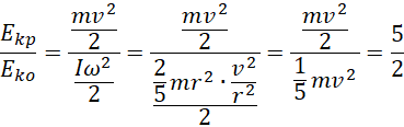
Jakie jest stosunek energii kinetycznej ruchu postępowego do energii kinetycznej ruchu obrotowego kuli toczącej się bez poślizgu?

Rozwiązanie

Energia kinetyczna ruchu postępowego jest 2,5 raza większa.

Skul
Poprzednie
Następne

Fizyka - wybrane pytania

Zadanie 10.6.7., strona 226, Zrozumieć fizykę. Klasa 2. Zakres rozszerzony. Zbiór zadań - rozwiązania i odpowiedzi
Zadanie 9.4.11., strona 161, Zrozumieć fizykę. Klasa 2. Zakres rozszerzony. Zbiór zadań - rozwiązania i odpowiedzi
Zadanie 52.3, strona 164, Fizyka. Klasa 2. Zakres rozszerzony. Zbiór zadań - rozwiązania i odpowiedzi
Ćwiczenie Doświadczenie 2, strona 184, To jest fizyka. Klasa 7. Podręcznik - rozwiązania i odpowiedzi
Zadanie 3., strona 264, Odkryć fizykę. Klasa 3. Zakres podstawowy. Podręcznik - rozwiązania i odpowiedzi
Ćwiczenie 5.6, strona 36, Fizyka. Klasa 3. Zakres rozszerzony. Zbiór zadań - rozwiązania i odpowiedzi
Zadanie 2., strona 41, Fizyka. Klasa 1. Podręcznik. Zakres podstawowy - rozwiązania i odpowiedzi
Zadanie 3., strona 266, Zrozumieć fizykę. Klasa 2. Podręcznik. Zakres rozszerzony - rozwiązania i odpowiedzi
Zadanie 13., strona 185, Fizyka. Klasa 7-8. Zbiór zadań - rozwiązania i odpowiedzi
Zadanie 32.8., strona 118, Zbiór zadań z fizyki dla szkoły podstawowej. Klasa 7-8 - rozwiązania i odpowiedzi
REKLAMA
Skul
Zadania z tego działu
Bryła sztywna
234
Ruch postępowy i obrotowy bryły sztywnej
234

Zadanie 1

242

Zadanie 2

242

Zadanie 3

242

Zadanie 4

242
Moment siły
243

Zadanie 1

251

Zadanie 2

251

Podpunkt a)

251

Podpunkt b)

251

Zadanie 3

251

Zadanie 4

251

Zadanie 5

251

Podpunkt a)

251

Podpunkt b)

251

Podpunkt c)

251

Podpunkt d)

251
Środek ciężkości i energia potencjalna bryły sztywnej
252

Zadanie 1

257

Zadanie 2

257

Zadanie 3

257

Zadanie 4

257

Zadanie 5

257

Zadanie 6

257

Podpunkt a)

257

Podpunkt b)

257
Energia kinetyczna w ruchu obrotowym
258

Zadanie 1

263

Zadanie 2

263

Zadanie 3

263

Zadanie 4

263

Podpunkt a)

263

Podpunkt b)

263

Podpunkt c)

263

Zadanie 5

263
Druga zasada dynamiki w ruchu obrotowym
264

Zadanie 1

268

Zadanie 2

268

Podpunkt a)

268

Podpunkt b)

268

Zadanie 3

268

Zadanie 4

268

Podpunkt a)

268

Podpunkt b)

268

Podpunkt c)

268

Zadanie 5

268
Moment pędu
269

Zadanie 1

278

Podpunkt a)

278

Podpunkt b)

278

Podpunkt c)

278

Zadanie 2

278

Podpunkt a)

278

Podpunkt b)

278

Zadanie 3

278

Podpunkt a)

278

Podpunkt b)

278

Zadanie 4

278

Zadanie 5

278

Podpunkt a)

278

Podpunkt b)

278

Podpunkt c)

278

Podpunkt d)

278

Podpunkt e)

278
Pełny spis treści
Skul
Artboard 1
Skul.pl
  • Napisz do nas
  • FAQ
  • Mapa Serwisu
  • Google Play
  • App Store

Korzystanie z portalu oznacza akceptację Regulaminu.
Polityka prywatności. Ustawienia preferencji. Copyright: INTERIA.PL 1999-2023 Wszystkie prawa zastrzeżone.