Skul.pl
  • Opracowania zadań z podręczników
  • Zrozumieć fizykę. Klasa 1.Podręcznik. Zakres rozszerzony - rozwiązania i odpowiedzi
  • Zadanie 4

Zrozumieć fizykę. Klasa 1.Podręcznik. Zakres rozszerzony - rozwiązania i odpowiedzi

Podręcznik, Wydawnictwo: Nowa Era
Poprzednie

Zadanie 4 - strona 278

Następne

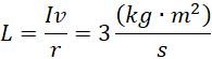
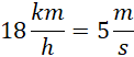
Zadanie

Jaki jest moment bezwładności koła rowerowego? Jaki będzie moment pędu podczas jazdy z prędkością 18 ?

Rozwiązanie

Skul
Poprzednie
Następne

Fizyka - wybrane pytania

Zadanie 9.2.4., strona 143, Zrozumieć fizykę. Klasa 2. Zakres rozszerzony. Zbiór zadań - rozwiązania i odpowiedzi
Ćwiczenie 5., strona 42, Fizyka. Świat fizyki. Klasa 8. Zeszyt ćwiczeń - rozwiązania i odpowiedzi
Zadanie 7.3.3., strona 26, Zrozumieć fizykę. Klasa 2. Zakres rozszerzony. Zbiór zadań - rozwiązania i odpowiedzi
Zadanie 6.2.10., strona 232, Zrozumieć fizykę. Klasa 1. Zakres rozszerzony. Zbiór zadań - rozwiązania i odpowiedzi
Zadanie 2., strona 102, Fizyka. Klasa 7. Podręcznik - rozwiązania i odpowiedzi
Zadanie 25., strona 73, Fizyka. Klasa 7-8. Zbiór zadań - rozwiązania i odpowiedzi
Zadanie 4.7., strona 159, Zrozumieć fizykę. Klasa 1. Zakres rozszerzony. Zbiór zadań - rozwiązania i odpowiedzi
Zadanie 19.13., strona 68, Zbiór zadań z fizyki dla szkoły podstawowej. Klasa 7-8 - rozwiązania i odpowiedzi
Zadanie 12.11, strona 144, Zrozumieć fizykę 3. Zakres rozszerzony. Zbiór zadań - rozwiązania i odpowiedz.
Zadanie 5, strona 22, To jest fizyka. Klasa 7. Podręcznik - rozwiązania i odpowiedzi
REKLAMA
Skul
Zadania z tego działu
Bryła sztywna
234
Ruch postępowy i obrotowy bryły sztywnej
234

Zadanie 1

242

Zadanie 2

242

Zadanie 3

242

Zadanie 4

242
Moment siły
243

Zadanie 1

251

Zadanie 2

251

Podpunkt a)

251

Podpunkt b)

251

Zadanie 3

251

Zadanie 4

251

Zadanie 5

251

Podpunkt a)

251

Podpunkt b)

251

Podpunkt c)

251

Podpunkt d)

251
Środek ciężkości i energia potencjalna bryły sztywnej
252

Zadanie 1

257

Zadanie 2

257

Zadanie 3

257

Zadanie 4

257

Zadanie 5

257

Zadanie 6

257

Podpunkt a)

257

Podpunkt b)

257
Energia kinetyczna w ruchu obrotowym
258

Zadanie 1

263

Zadanie 2

263

Zadanie 3

263

Zadanie 4

263

Podpunkt a)

263

Podpunkt b)

263

Podpunkt c)

263

Zadanie 5

263
Druga zasada dynamiki w ruchu obrotowym
264

Zadanie 1

268

Zadanie 2

268

Podpunkt a)

268

Podpunkt b)

268

Zadanie 3

268

Zadanie 4

268

Podpunkt a)

268

Podpunkt b)

268

Podpunkt c)

268

Zadanie 5

268
Moment pędu
269

Zadanie 1

278

Podpunkt a)

278

Podpunkt b)

278

Podpunkt c)

278

Zadanie 2

278

Podpunkt a)

278

Podpunkt b)

278

Zadanie 3

278

Podpunkt a)

278

Podpunkt b)

278

Zadanie 4

278

Zadanie 5

278

Podpunkt a)

278

Podpunkt b)

278

Podpunkt c)

278

Podpunkt d)

278

Podpunkt e)

278
Pełny spis treści
Skul
Artboard 1
Skul.pl
  • Napisz do nas
  • FAQ
  • Mapa Serwisu
  • Google Play
  • App Store

Korzystanie z portalu oznacza akceptację Regulaminu.
Polityka prywatności. Ustawienia preferencji. Copyright: INTERIA.PL 1999-2023 Wszystkie prawa zastrzeżone.