Skul.pl
  • Opracowania zadań z podręczników
  • Zrozumieć fizykę. Klasa 1.Podręcznik. Zakres rozszerzony - rozwiązania i odpowiedzi
  • Podpunkt b)

Zrozumieć fizykę. Klasa 1.Podręcznik. Zakres rozszerzony - rozwiązania i odpowiedzi

Podręcznik, Wydawnictwo: Nowa Era
Poprzednie

Zadanie 6, b) - strona 257

Następne

Zadanie

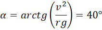
Jaka jest wartość pochylenia motocykla?

Rozwiązanie

Kąt nachylenia motocykla względem pionu wynosi około 40 stopni.

Skul

Wyjaśnienie

Wartość tangensa kąta jest równa współczynnikowi tarcia opon o asfalt.

Poprzednie
Następne

Fizyka - wybrane pytania

Zadanie 43.12, strona 144, Fizyka. Klasa 2. Zakres rozszerzony. Zbiór zadań - rozwiązania i odpowiedzi
Zadanie 42.1, strona 129, Fizyka. Klasa 2. Zakres rozszerzony. Zbiór zadań - rozwiązania i odpowiedzi
Zadanie 5., strona 118, To jest fizyka. Klasa 7. Zeszyt ćwiczeń - rozwiązania i odpowiedzi
Ćwiczenie 1., strona 28, Fizyka. Klasa 7. Zeszyt ćwiczeń – rozwiązania i odpowiedzi
Ćwiczenie 28.8, strona 136, Fizyka. Klasa 3. Zakres rozszerzony. Zbiór zadań - rozwiązania i odpowiedzi
Ćwiczenie Doświadczenie 3, strona 184, To jest fizyka. Klasa 7. Podręcznik - rozwiązania i odpowiedzi
Zadanie 7., strona 32, Fizyka. Fizyka z plusem. Klasa 7. Podręcznik - rozwiązania i odpowiedzi
Zadanie 6.13, strona 46, Fizyka. Klasa 4. Zakres rozszerzony. Zbiór zadań - rozwiązania i odpowiedzi
Zadanie 4, strona 26, Spotkania z fizyką. Klasa 7. Zeszyt ćwiczeń - rozwiązania i odpowiedzi
Ćwiczenie 8.7., strona 114, Fizyka. Klasa 1-3. Zakres podstawowy. Zbiór zadań - rozwiązania i odpowiedzi
REKLAMA
Skul
Zadania z tego działu
Bryła sztywna
234
Ruch postępowy i obrotowy bryły sztywnej
234

Zadanie 1

242

Zadanie 2

242

Zadanie 3

242

Zadanie 4

242
Moment siły
243

Zadanie 1

251

Zadanie 2

251

Podpunkt a)

251

Podpunkt b)

251

Zadanie 3

251

Zadanie 4

251

Zadanie 5

251

Podpunkt a)

251

Podpunkt b)

251

Podpunkt c)

251

Podpunkt d)

251
Środek ciężkości i energia potencjalna bryły sztywnej
252

Zadanie 1

257

Zadanie 2

257

Zadanie 3

257

Zadanie 4

257

Zadanie 5

257

Zadanie 6

257

Podpunkt a)

257

Podpunkt b)

257
Energia kinetyczna w ruchu obrotowym
258

Zadanie 1

263

Zadanie 2

263

Zadanie 3

263

Zadanie 4

263

Podpunkt a)

263

Podpunkt b)

263

Podpunkt c)

263

Zadanie 5

263
Druga zasada dynamiki w ruchu obrotowym
264

Zadanie 1

268

Zadanie 2

268

Podpunkt a)

268

Podpunkt b)

268

Zadanie 3

268

Zadanie 4

268

Podpunkt a)

268

Podpunkt b)

268

Podpunkt c)

268

Zadanie 5

268
Moment pędu
269

Zadanie 1

278

Podpunkt a)

278

Podpunkt b)

278

Podpunkt c)

278

Zadanie 2

278

Podpunkt a)

278

Podpunkt b)

278

Zadanie 3

278

Podpunkt a)

278

Podpunkt b)

278

Zadanie 4

278

Zadanie 5

278

Podpunkt a)

278

Podpunkt b)

278

Podpunkt c)

278

Podpunkt d)

278

Podpunkt e)

278
Pełny spis treści
Skul
Artboard 1
Skul.pl
  • Napisz do nas
  • FAQ
  • Mapa Serwisu
  • Google Play
  • App Store

Korzystanie z portalu oznacza akceptację Regulaminu.
Polityka prywatności. Ustawienia preferencji. Copyright: INTERIA.PL 1999-2023 Wszystkie prawa zastrzeżone.