Objętość:
Gęstość:
Masa:
68 kg > 50 kg
Uczeń nie może unieść naczynia z rtęcią.
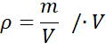
Wzór na gęstość ma postać:
gdzie
m – masa substancji [kg],
V objętość substancji [m3].
Przekształć wzór, aby otrzymać wzór na masę substancji.