Skul.pl
  • Opracowania zadań z podręczników
  • Fizyka. Klasa 1. Podręcznik. Zakres podstawowy - rozwiązania i odpowiedzi
  • Zadanie 1.

Fizyka. Klasa 1. Podręcznik. Zakres podstawowy - rozwiązania i odpowiedzi

Podręcznik, Wydawnictwo: WSiP
Poprzednie

Zadanie 1. - strona 139

Następne

Zadanie

Jak bardzo obniży się krawędź trampoliny do skoków, jeśli wejdzie na nią osoba o masie 60 kg, współczynnik sprężystości wynosi .

Rozwiązanie

Krawędź trampoliny obniży się o 0,3 m.

Skul

Wyjaśnienie

Siła, jaką człowiek o masie 60 kg działa na deskę:

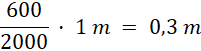
Współczynnik sprężystości oznacza, iż trampolina obniży się o 1 metr pod wpływem siły 2000 N, a więc pod wpływem siły 600 N trampolina obniży się o:

Poprzednie
Następne

Fizyka - wybrane pytania

Zadanie 12.13, strona 52, Fizyka. Klasa 2. Zakres rozszerzony. Zbiór zadań - rozwiązania i odpowiedzi
Ćwiczenie 4., strona 91, Fizyka. Świat fizyki. Klasa 8. Zeszyt ćwiczeń - rozwiązania i odpowiedzi
Zadanie 15.43., strona 211, Fizyka. Klasa 7-8. Zbiór zadań - rozwiązania i odpowiedzi
Zadanie 3., strona 323, Odkryć fizykę. Klasa 3. Zakres podstawowy. Podręcznik - rozwiązania i odpowiedzi
Zadanie 1, strona 49, Spotkania z fizyką. Klasa 8. Zeszyt ćwiczeń - rozwiązania i odpowiedzi
Zadanie 4.59., strona 46, Fizyka. Klasa 7-8. Zbiór zadań - rozwiązania i odpowiedzi
Zadanie 2.6., strona 17, Fizyka. Klasa 1. Zbiór zadań. Zakres rozszerzony – rozwiązania i odpowiedzi
Zadanie 5.14., strona 56, Fizyka. Klasa 7-8. Zbiór zadań - rozwiązania i odpowiedzi
Zadanie 10.4.3., strona 208, Zrozumieć fizykę. Klasa 2. Zakres rozszerzony. Zbiór zadań - rozwiązania i odpowiedzi
Zadanie 5., strona 205, Spotkania z fizyką. Klasa 8. Podręcznik - rozwiązania i odpowiedzi
REKLAMA
Skul
Zadania z tego działu
Energia i jej przemiany
109
Zasada zachowania energii
110

Zadanie 1.

114

Zadanie 2.

114

Zadanie 3.

114

Zadanie 4.

114

Zadanie 5.

114

Podpunkt a)

114

Podpunkt b)

114
Praca i moc
115

Zadanie 1.

120

Zadanie 2.

120

Podpunkt a)

120

Podpunkt b)

120

Podpunkt c)

120

Zadanie 3.

120

Zadanie 4.

120

Zadanie 5.

120
Energia grawitacji i energia kinetyczna
121

Zadanie 1.

125

Zadanie 2.

125

Zadanie 3.

125

Zadanie 4.

125

Zadanie 5.

125
Zasada zachowania energii mechanicznej
128

Zadanie 1.

133

Podpunkt a)

133

Podpunkt b)

133

Zadanie 2.

133

Zadanie 3.

133

Zadanie 4.

133

Zadanie 5.

133
Energia sprężystości
134

Zadanie 1.

139

Zadanie 2.

139

Zadanie 3.

139

Zadanie 4.

139

Zadanie 5.

139
Energia mechaniczna w sporcie
140

Zadanie 1.

145

Zadanie 2.

145

Zadanie 3.

145

Zadanie 4.

145

Zadanie 5.

145
Powtórzenie działu
146

Zadanie 1.

148

Zadanie 2.

148

Zadanie 3.

148

Zadanie 4.

148

Podpunkt a)

148

Podpunkt b)

148

Podpunkt c)

148

Podpunkt d)

148

Podpunkt e)

148

Podpunkt f)

148

Podpunkt g)

148
Pełny spis treści
Skul
Artboard 1
Skul.pl
  • Napisz do nas
  • FAQ
  • Mapa Serwisu
  • Google Play
  • App Store

Korzystanie z portalu oznacza akceptację Regulaminu.
Polityka prywatności. Ustawienia preferencji. Copyright: INTERIA.PL 1999-2023 Wszystkie prawa zastrzeżone.