Skul.pl
  • Opracowania zadań z podręczników
  • Fizyka. Klasa 1. Podręcznik. Zakres podstawowy - rozwiązania i odpowiedzi
  • Zadanie 1.

Fizyka. Klasa 1. Podręcznik. Zakres podstawowy - rozwiązania i odpowiedzi

Podręcznik, Wydawnictwo: WSiP
Poprzednie

Zadanie 1. - strona 148

Następne

Zadanie

Należy wybrać odpowiednie dokończenie zdania.

Rozwiązanie

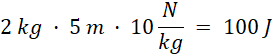
C 100 J i 200 J.

Skul

Wyjaśnienie

Energia potencjalna ciała zwiększyła się o:

Dlatego reszta pracy musiała zostać wykorzystana na energię kinetyczną.

Poprzednie
Następne

Fizyka - wybrane pytania

Ćwiczenie doświadczenie 1., strona 51, Świat fizyki. Klasa 7. Podręcznik - rozwiązania i odpowiedzi
Zadanie Doświadczenie domowe, strona 122, Odkryć fizykę. Klasa 3. Zakres podstawowy. Podręcznik - rozwiązania i odpowiedzi
Zadanie 1, strona 54, Fizyka. Klasy 1-3. Zakres podstawowy. Zbiór zadań - rozwiązania i odpowiedzi
Zadanie 10.1., strona 58, Fizyka. Klasa 1. Zbiór zadań. Zakres rozszerzony – rozwiązania i odpowiedzi
Zadanie 7.12., strona 61, Zrozumieć fizykę. Klasa 2. Zakres rozszerzony. Zbiór zadań - rozwiązania i odpowiedzi
Zadanie 1., strona 214, Fizyka. Klasa 2. Podręcznik. Zakres rozszerzony – rozwiązania i odpowiedzi
Zadanie 61.19., strona 239, Zbiór zadań z fizyki dla szkoły podstawowej. Klasa 7-8 - rozwiązania i odpowiedzi
Zadanie 6., strona 211, Fizyka. Klasa 7-8. Zbiór zadań - rozwiązania i odpowiedzi
Zadanie 2, strona 56, Fizyka. Klasa 7. Podręcznik – rozwiązania i odpowiedzi
Zadanie 54.1., strona 195, Zbiór zadań z fizyki dla szkoły podstawowej. Klasa 7-8 - rozwiązania i odpowiedzi
REKLAMA
Skul
Zadania z tego działu
Energia i jej przemiany
109
Zasada zachowania energii
110

Zadanie 1.

114

Zadanie 2.

114

Zadanie 3.

114

Zadanie 4.

114

Zadanie 5.

114

Podpunkt a)

114

Podpunkt b)

114
Praca i moc
115

Zadanie 1.

120

Zadanie 2.

120

Podpunkt a)

120

Podpunkt b)

120

Podpunkt c)

120

Zadanie 3.

120

Zadanie 4.

120

Zadanie 5.

120
Energia grawitacji i energia kinetyczna
121

Zadanie 1.

125

Zadanie 2.

125

Zadanie 3.

125

Zadanie 4.

125

Zadanie 5.

125
Zasada zachowania energii mechanicznej
128

Zadanie 1.

133

Podpunkt a)

133

Podpunkt b)

133

Zadanie 2.

133

Zadanie 3.

133

Zadanie 4.

133

Zadanie 5.

133
Energia sprężystości
134

Zadanie 1.

139

Zadanie 2.

139

Zadanie 3.

139

Zadanie 4.

139

Zadanie 5.

139
Energia mechaniczna w sporcie
140

Zadanie 1.

145

Zadanie 2.

145

Zadanie 3.

145

Zadanie 4.

145

Zadanie 5.

145
Powtórzenie działu
146

Zadanie 1.

148

Zadanie 2.

148

Zadanie 3.

148

Zadanie 4.

148

Podpunkt a)

148

Podpunkt b)

148

Podpunkt c)

148

Podpunkt d)

148

Podpunkt e)

148

Podpunkt f)

148

Podpunkt g)

148
Pełny spis treści
Skul
Artboard 1
Skul.pl
  • Napisz do nas
  • FAQ
  • Mapa Serwisu
  • Google Play
  • App Store

Korzystanie z portalu oznacza akceptację Regulaminu.
Polityka prywatności. Ustawienia preferencji. Copyright: INTERIA.PL 1999-2023 Wszystkie prawa zastrzeżone.