Skul.pl
  • Opracowania zadań z podręczników
  • Fizyka. Klasa 1. Podręcznik. Zakres podstawowy - rozwiązania i odpowiedzi
  • Zadanie 5.

Fizyka. Klasa 1. Podręcznik. Zakres podstawowy - rozwiązania i odpowiedzi

Podręcznik, Wydawnictwo: WSiP
Poprzednie

Zadanie 5. - strona 125

Następne

Zadanie

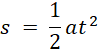
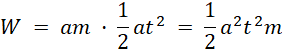
Jak z podanych danych wyprowadzić energię kinetyczną samochodu?

Rozwiązanie

Skul
Poprzednie
Następne

Fizyka - wybrane pytania

Zadanie Przyspieszenie roweru, strona 34, To jest fizyka. Klasa 7. Zeszyt ćwiczeń - rozwiązania i odpowiedzi
Zadanie 2, strona 77, Zrozumieć fizykę. Klasa 4. Poziom rozszerzony. Podręcznik - rozwiązania i odpowiedzi
Zadanie 18.8., strona 65, Zbiór zadań z fizyki dla szkoły podstawowej. Klasa 7-8 - rozwiązania i odpowiedzi
Ćwiczenie doświadczenie 16., strona 142, Fizyka. Klasa 7. Podręcznik - rozwiązania i odpowiedzi
Zadanie 65.5., strona 254, Zbiór zadań z fizyki dla szkoły podstawowej. Klasa 7-8 - rozwiązania i odpowiedzi
Zadanie 1, strona 41, Spotkania z fizyką. Klasa 7. Podręcznik - rozwiązania i odpowiedzi
Zadanie 22., strona 203, Fizyka. Klasa 7-8. Zbiór zadań - rozwiązania i odpowiedzi
Zadanie 5., strona 83, Fizyka. Klasa 1. Podręcznik. Zakres rozszerzony – rozwiązania i odpowiedzi
Ćwiczenie 38.4, strona 179, Fizyka. Klasa 3. Zakres rozszerzony. Zbiór zadań - rozwiązania i odpowiedzi
Zadanie 5.9., strona 27, Fizyka. Klasa 1. Zbiór zadań. Zakres rozszerzony – rozwiązania i odpowiedzi
REKLAMA
Skul
Zadania z tego działu
Energia i jej przemiany
109
Zasada zachowania energii
110

Zadanie 1.

114

Zadanie 2.

114

Zadanie 3.

114

Zadanie 4.

114

Zadanie 5.

114

Podpunkt a)

114

Podpunkt b)

114
Praca i moc
115

Zadanie 1.

120

Zadanie 2.

120

Podpunkt a)

120

Podpunkt b)

120

Podpunkt c)

120

Zadanie 3.

120

Zadanie 4.

120

Zadanie 5.

120
Energia grawitacji i energia kinetyczna
121

Zadanie 1.

125

Zadanie 2.

125

Zadanie 3.

125

Zadanie 4.

125

Zadanie 5.

125
Zasada zachowania energii mechanicznej
128

Zadanie 1.

133

Podpunkt a)

133

Podpunkt b)

133

Zadanie 2.

133

Zadanie 3.

133

Zadanie 4.

133

Zadanie 5.

133
Energia sprężystości
134

Zadanie 1.

139

Zadanie 2.

139

Zadanie 3.

139

Zadanie 4.

139

Zadanie 5.

139
Energia mechaniczna w sporcie
140

Zadanie 1.

145

Zadanie 2.

145

Zadanie 3.

145

Zadanie 4.

145

Zadanie 5.

145
Powtórzenie działu
146

Zadanie 1.

148

Zadanie 2.

148

Zadanie 3.

148

Zadanie 4.

148

Podpunkt a)

148

Podpunkt b)

148

Podpunkt c)

148

Podpunkt d)

148

Podpunkt e)

148

Podpunkt f)

148

Podpunkt g)

148
Pełny spis treści
Skul
Artboard 1
Skul.pl
  • Napisz do nas
  • FAQ
  • Mapa Serwisu
  • Google Play
  • App Store

Korzystanie z portalu oznacza akceptację Regulaminu.
Polityka prywatności. Ustawienia preferencji. Copyright: INTERIA.PL 1999-2023 Wszystkie prawa zastrzeżone.