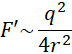
D. zmalała czterokrotnie.
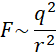
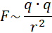
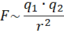
Zauważ, że na początku ładunki obu kul są równe, zatem q1 = q2 = q. Odległość pomiędzy kulami wynosi r. Wykorzystując prawo Coulomba, zapisz zależność:
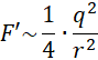
Teraz sprawdź, jak ten stosunek zmieni się, jeśli odległość między kulami zwiększy się o połowę, a ładunku wzrosną dwukrotnie. Zatem:
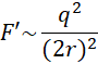
Jeżeli odległość między kulami wzrośnie dwukrotnie, a ładunki kul pozostaną takie same, to siła zmaleje czterokrotnie.