Skul.pl
  • Opracowania zadań z podręczników
  • Fizyka. Klasa 8. Podręcznik - rozwiązania i odpowiedzi
  • Pytanie 7

Fizyka. Klasa 8. Podręcznik - rozwiązania i odpowiedzi

Podręcznik, Wydawnictwo: MAC
Poprzednie

Pytanie 7 - strona 129

Następne

Zadanie

W tym zadaniu musisz przypomnieć sobie, jak brzmi prawo Coulomba.

Rozwiązanie

D.

Skul

Wyjaśnienie

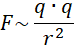
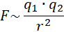
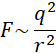
Zauważ, że na początku ładunki obu kul są takie same, zatem q1 = q2 = q. Odległość pomiędzy kulami wynosi r. Wykorzystując prawo Coulomba, zapisz zależność:

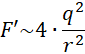
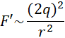
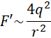
Teraz sprawdź, jak ten stosunek zmieni się, jeśli ładunki kul wzrosną 2 razy, czyli q’ = 2q. Odległość pozostaje ta sama, zatem:

Jeżeli ładunki kul wzrosną trzykrotnie, to siła będzie 4 razy większa.

Poprzednie
Następne

Fizyka - wybrane pytania

Zadanie 4., strona 161, Fizyka. To jest fizyka. Klasa 8. Podręcznik - rozwiązania i odpowiedzi
Zadanie 2., strona 167, Fizyka. Klasa 1. Zakres rozszerzony. Podręcznik - rozwiązania i odpowiedzi
Zadanie 2, strona 57, Fizyka. Klasa 7. Podręcznik – rozwiązania i odpowiedzi
Zadanie 1., strona 228, Fizyka. To jest fizyka. Klasa 8. Podręcznik - rozwiązania i odpowiedzi
Ćwiczenie doświadczenie: 3., strona 116, Fizyka. Klasa 7. Podręcznik - rozwiązania i odpowiedzi
Zadanie 2, strona 150, Spotkania z fizyką. Klasa 7. Podręcznik - rozwiązania i odpowiedzi
Zadanie 6.1., strona 266, Zrozumieć fizykę. Klasa 1. Zakres rozszerzony. Zbiór zadań - rozwiązania i odpowiedzi
Zadanie 6.77., strona 95, Fizyka. Klasa 7-8. Zbiór zadań - rozwiązania i odpowiedzi
Zadanie 1, strona 40, Spotkania z fizyką. Klasa 8. Zeszyt ćwiczeń - rozwiązania i odpowiedzi
Zadanie 3, strona 44, Fizyka. Klasa 7. Podręcznik - rozwiązania i odpowiedzi
REKLAMA
Skul
Zadania z tego działu
3. Elektrostatyka
99
Elektrostatyka
99

Pytanie 1

99

Pytanie 2

99

Pytanie 3

99

Pytanie 4

99
3.1 Elektryzowanie ciał przez tarcie oraz przez dotyk
100

Pytanie Podejmij temat 1

100

Zadanie 1

103

Zadanie 2

103

Zadanie 3

103
3.2 Oddziaływanie ciał naelektryzowanych
104

Pytanie Podejmij temat 1

104

Pytanie Podejmij temat 2

104

Zadanie 1

108

Zadanie 2

108

Podpunkt a)

108

Podpunkt b)

108

Podpunkt c)

108

Podpunkt d)

108

Zadanie 3

108
3.3 Mikroskopowy obraz elektryzowania ciał
109

Pytanie Podejmij temat 1

109

Pytanie Podejmij temat 2

109

Zadanie 1

115

Zadanie 2

115

Pytanie 3

115

Zadanie 4

115

Podpunkt a)

115

Podpunkt b)

115

Podpunkt c)

115

Pytanie 5

115
3.4 Elektryzowanie przez indukcję
116

Pytanie Podejmij temat 1

116

Zadanie 1

122

Pytanie 2

122

Zadanie 3

122

Zadanie 4

122
3.5 Pole elektrostatyczne
123

Pytanie Podejmij temat 1

123

Zadanie 1

126

Zadanie 2

126
Podsumowanie działu 3
127

Pytanie 1

129

Pytanie 2

129

Pytanie 3

129

Pytanie 4

129

Pytanie 5

129

Pytanie 6

129

Pytanie 7

129

Pytanie 8

129

Pytanie 9

130

Pytanie 10

130

Pytanie 11

130

Pytanie 12

130

Pytanie 13

130

Pytanie 14

130

Pytanie 15

130

Pytanie 16

130
Pełny spis treści
Skul
Artboard 1
Skul.pl
  • Napisz do nas
  • FAQ
  • Mapa Serwisu
  • Google Play
  • App Store

Korzystanie z portalu oznacza akceptację Regulaminu.
Polityka prywatności. Ustawienia preferencji. Copyright: INTERIA.PL 1999-2023 Wszystkie prawa zastrzeżone.