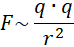
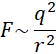
q1 = q2 = q
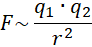
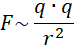
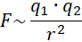
Z prawa Coulomba:
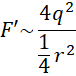
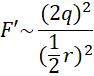
Jeżeli odległość między kulami zmaleje o połowę, a ładunki kul wzrosną dwukrotnie, to siła wzrośnie 16 razy.
Zauważ, że na początku ładunki obu kul są równe, zatem q1 = q2 = q. Odległość pomiędzy kulami wynosi r. Wykorzystując prawo Coulomba, zapisz zależność:
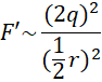
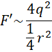
Teraz sprawdź, jak ten stosunek zmieni się, jeśli odległość między kulami zmniejszy się o połowę, a ładunku wzrosną dwukrotnie. Zatem:
Jeżeli odległość między kulami zmaleje o połowę, a ładunki kul wzrosną dwukrotnie, to siła wzrośnie 16 razy.