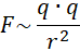
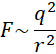
q1 = q2 = q
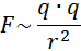
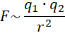
Z prawa Coulomba:
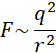
Jeżeli ładunki kul wzrosną trzykrotnie, to siła będzie 9 razy większa.
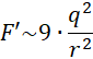
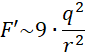
Zauważ, że na początku ładunki obu kul są takie same, zatem q1 = q2 = q. Odległość pomiędzy kulami wynosi r. Wykorzystując prawo Coulomba, zapisz zależność:
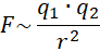
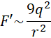
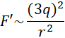
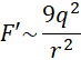
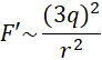
Teraz sprawdź, jak ten stosunek zmieni się, jeśli ładunki kul wzrosną 3 razy, czyli q’ = 3q. Odległość pozostaje ta sama, zatem:
Jeżeli ładunki kul wzrosną trzykrotnie, to siła będzie 9 razy większa.