Dane:
Prędkość:
Stała Plancka:
Masa spoczynkowa elektronu:
Prędkość światła w próżni:
Twoim celem jest określenie
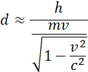
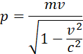
Znasz relację:
gdzie
z pędem
Podstawiając to do powyższego wzoru otrzymujesz:
Podstawiając
Stała siatki dyfrakcyjnej odgrywa kluczową rolę w dyfrakcji i interferencji cząstek, takich jak elektrony. W przypadku elektronów poruszających się z tak wysokimi prędkościami, klasyczne podejście nie działa, dlatego należało użyć długości fali de Broglie'a, która łączy koncepcje z mechaniki kwantowej z teorią względności. Ostateczny wynik, 4 pm, daje rozmiar stałej siatki, który pozwala obserwować interferencję dla takich prędkości elektronów.