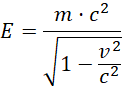
Mając na uwadze, że energię relatywistyczną cząstki można opisać jako:
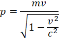
oraz pęd relatywistyczny jest dany przez:
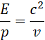
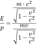
Zastanów się nad stosunkiem energii do pędu:
Z powyższego wynika:
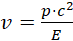
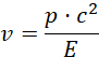
stąd:
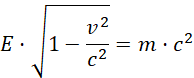
Podstawiając to do wyrażenia dla energii:
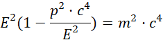
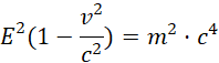
Podnosisz obie strony do kwadratu:
Z wcześniejszej relacji
Po przekształceniu:
Przekształcając powyższe równanie, otrzymujesz:
Równanie, które wyprowadziłeś, ilustruje głęboką relację pomiędzy energią całkowitą cząstki, jej energią spoczynkową i pędem w kontekście teorii względności Einsteina. W tradycyjnej fizyce klasycznej pęd i energia były traktowane jako oddzielne wielkości. Jednak w teorii względności okazuje się, że są one powiązane w sposób bardziej złożony, co pozwala na takie fenomeny jak zwiększanie masy cząstki z jej prędkością.