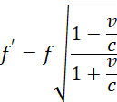
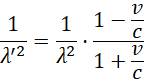
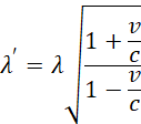
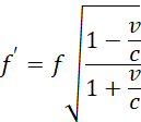
Dla ciała oddalającego się od obserwatora z prędkością
gdzie:
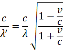
Używając wzoru na częstotliwość fali elektromagnetycznej:
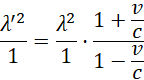
Czyli:
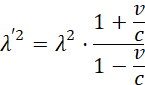
Przekształcając, otrzymujesz:
Aby rozwiązać to zadanie, najpierw stosujesz wzór na efekt Dopplera, który opisuje jak obserwowana częstotliwość zmienia się w zależności od prędkości ciała. Następnie, używając relacji między prędkością światła, długością fali i częstotliwością, wyrażasz długość fali w zależności od obserwowanej częstotliwości. Po kilku przekształceniach algebraicznych, możesz udowodnić szukaną zależność między