Masz dwa wzory:
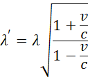
1) Z teorii względności:
2) Tradycyjny wzór:
Gdzie:
Wstawiając wartości do wzoru z teorii względności:
Teraz używasz tradycyjnego wzoru:
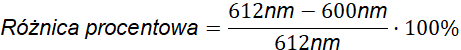
Czyli wynik uzyskany za pomocą tradycyjnego wzoru jest zawyżony o około 2% w porównaniu do wartości obliczonej za pomocą wzoru z teorii względności.
Na początku musisz użyć formuły z teorii względności, by obliczyć długość fali świetlnej uwzględniając prędkość ciała emitującego światło oraz prędkość światła. Następnie zastosuj tradycyjny wzór efektu Dopplera do obliczenia tej samej długości fali. Na końcu porównaj oba wyniki i obliczasz ich różnicę procentową, by zrozumieć, jak różne są obie wartości w kontekście dużych prędkości.