UWAGA - Zadanie zawiera nieścisłość! Na załączonym rysunku sugeruje się, że podczas przechodzenia światła z medium optycznie gęstszego do rzadszego, kąt padania przewyższa kąt załamania. To założenie jest nieprawidłowe, gdyż przy takim przejściu kąt załamania faktycznie jest większy niż kąt padania!
Narysuj rysunek poprawnie:
Dane:
Ponieważ w trójkącie prostokątnym równoramiennym przeciwprostokątna wynosi
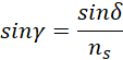
Korzystając z prawa Snella, masz:
Skąd, dla sinusa kąta padania na dłuższą przeciwprostokątną, masz:
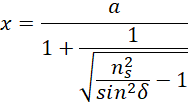
Znając sumę kątów wewnętrznych trójkąta możesz zapisać, że:
Wykorzystaj twierdzenie sinusów. Wówczas:
Podstaw w równaniu wyprowadzoną wcześniej zależność
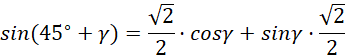
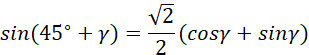
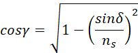
Wykorzystując z kolei wzory redukcyjne:
Z sinusa sumy kątów:
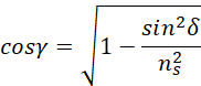
Natomiast z jedynki trygonometrycznej:
Podstaw wyprowadzoną wcześniej zależność:
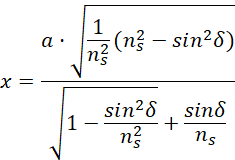
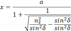
Wróć do twierdzenia sinusów, aby wyznaczyć x:
Na początku tego zadania musisz zauważyć, że w jego treści jest błąd. Na załączonym do niego rysunku sugeruje się bowiem, że podczas przechodzenia światła z medium optycznie gęstszego do rzadszego, kąt padania przewyższa kąt załamania. Jest to nieprawda, ponieważ przy takim przejściu kąt załamania faktycznie jest większy niż kąt padania.
Następnie narysuj odpowiedni rysunek, który uwzględnia prawidłowe założenia. Dalej, korzystając z prawa Snella oraz sinusa kąta padania na dłuższą przeciwprostokątną, wyprowadź następującą zależność:
Dodatkowo, m.in z jedynki trygonometrycznej, będziesz mógł także wyprowadzić zależność na