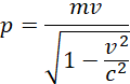
Masz wzór relatywistyczny na pęd dla ciała o masie
Chcesz ocenić ten wzór dla prędkości znacznie mniejszych od prędkości światła
Skutkuje to tym, że iloczyn
Podnosząc obie strony równania do kwadratu, dostajesz:
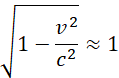
Co pozwala na uproszczenie wyrażenia w mianowniku wzoru relatywistycznego do:
Zastępując to przybliżenie w pierwotnym wzorze na pęd relatywistyczny, dostajesz:
Co należało dowieść.
To uzasadnienie pokazuje, że w przypadku niewielkich prędkości, pęd ciała obliczany według wzoru relatywistycznego staje się zbliżony do pędu obliczanego według klasycznej fizyki. W praktyce oznacza to, że dla większości zastosowań na co dzień, gdzie prędkości są niewielkie w porównaniu z prędkością światła, fizyka klasyczna daje dokładne wyniki. Relatywistyka staje się kluczowa jedynie w ekstremalnych warunkach, takich jak duże prędkości czy silne pola grawitacyjne.