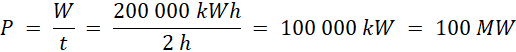
Oblicz moc elektrowni, przelicz ją na megawaty.
W czasie 2 godzin elektrownia produkuje 200 000 kWh energii.
Podstawiając to pod wzór na moc urządzenia Oblicz, jaką miała moc:
Zadanie 6.1.
Zadanie 6.2.
Zadanie 6.3.
Zadanie 6.4.
Zadanie 6.5.
Podpunkt a)
Podpunkt b)
Zadanie 6.6.
Zadanie 6.7.
Podpunkt c)
Zadanie 6.8.
Zadanie 6.9.
Zadanie 6.10.
Zadanie 6.11.
Zadanie 6.12.
Zadanie 6.13.
Zadanie 6.14.
Zadanie 6.15.
Zadanie 6.16.
Zadanie 6.17.
Zadanie 6.18.
Zadanie 6.19.
Zadanie 6.20.
Zadanie 6.21.
Zadanie 6.22.
Zadanie 6.23.
Zadanie 6.24.
Zadanie 6.25.
Zadanie 6.26.
Zadanie 6.27.
Zadanie 6.28.
Zadanie 6.29.
Zadanie 6.30.
Zadanie 6.31.
Zadanie 6.32.
Zadanie 6.33.
Zadanie 6.34.
Zadanie 6.35.
Zadanie 6.36.
Zadanie 6.37.
Zadanie 6.38.
Zadanie 6.39.
Zadanie 6.40.
Zadanie 6.41.
Zadanie 6.42.
Zadanie 6.43.
Zadanie 6.44.
Zadanie 6.45.
Zadanie 6.46.
Zadanie 6.47.
Zadanie 6.48.