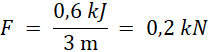
Oblicz z jaką siłą zadziałał Maciek, by przesunąć skrzynię.
Rozwiązanie
Maciek zadziałał na skrzynię z siłą 0,2 kN.
Wyjaśnienie
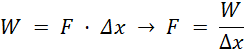
Praca fizyczna jest miarą energii potrzebnej, do przemieszczenia ciała o odległość Δx działając na ciało siłą F. Przekształć wzór definicji pracy, aby wyznaczyć wartość działającej siły.