Oblicz moc konia, podaj ją w kilowatach.
Pamiętaj, że 1 kW = 1000 W
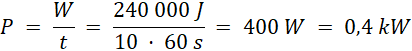
Moc to miara, jaką prace wykonano w czasie sekundy:
Zadanie 6.1.
Zadanie 6.2.
Zadanie 6.3.
Zadanie 6.4.
Zadanie 6.5.
Podpunkt a)
Podpunkt b)
Zadanie 6.6.
Zadanie 6.7.
Podpunkt c)
Zadanie 6.8.
Zadanie 6.9.
Zadanie 6.10.
Zadanie 6.11.
Zadanie 6.12.
Zadanie 6.13.
Zadanie 6.14.
Zadanie 6.15.
Zadanie 6.16.
Zadanie 6.17.
Zadanie 6.18.
Zadanie 6.19.
Zadanie 6.20.
Zadanie 6.21.
Zadanie 6.22.
Zadanie 6.23.
Zadanie 6.24.
Zadanie 6.25.
Zadanie 6.26.
Zadanie 6.27.
Zadanie 6.28.
Zadanie 6.29.
Zadanie 6.30.
Zadanie 6.31.
Zadanie 6.32.
Zadanie 6.33.
Zadanie 6.34.
Zadanie 6.35.
Zadanie 6.36.
Zadanie 6.37.
Zadanie 6.38.
Zadanie 6.39.
Zadanie 6.40.
Zadanie 6.41.
Zadanie 6.42.
Zadanie 6.43.
Zadanie 6.44.
Zadanie 6.45.
Zadanie 6.46.
Zadanie 6.47.
Zadanie 6.48.